今天就让我们教大家学会看懂 Car Battery 蓄电池的规格!

随着行动管制令开始逐渐解封,相信这时候需要开车上班又或出门办事的朋友们或许会遇到 因为长期没有启动车子而导致 Car Battery 彻底没电的窘况。在需要更换新电池的当儿,有一些技师会建议你更换大一号的蓄电池,这又是为什么呢?今天就让我们教大家解读电池规格,让你知道究竟怎样的电池更适合你的爱车!

目前市面上的蓄电池主要分成两大类,分别是号称 Maintenance Free 的免维修蓄电池,也就是大家俗称的干电池,还有需要定期增加电解液的 Non-Maintenance Free 普通蓄电池。至于哪一种比较好其实并没有一种说法,通常免维修蓄电池的寿命比起有定期照顾的普通蓄电池会较短,但前提是普通蓄电池必须定期检查以及增加电解液,否则也会有很快报销的可能性,因此在这方面免维修的蓄电池算是比较方便的种类。

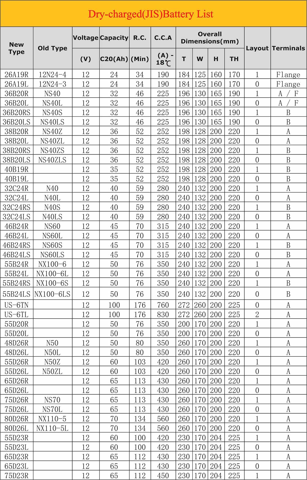
选择蓄电池最主要的还是要看电池的尺寸大小,容量以及额定值必须合适,首先按不能比原装蓄电池低,你想加大的话则必须留意加大后电池的尺寸大小是否适合安装。汽车蓄电池的规格与型号一般上都是按照一定标准来命名的,而这方面又分成不同国家标准的命名,主要分成日本 JIS 标准、德国的 DIN 标准以及美国 BCI 标准三大类。一般我们看到的都是日本标准居多。在这里也让小编以一些型号举例来教大家如何分辨规格上的“密码”:
1. 旧式日本蓄电池标准规格:NS40ZL, NS60, NS70
这一个标准普遍上都会被当作尺寸大小的一个指标,其中N代表的是日本 JIS 标准,而S则表示小型化,以 NS40ZL 为例,即实际容量比40 Ah小,为36 Ah。也因此 NS 后面的数字越大,就代表电池的容量越大,能够储存的电量就越多,可以容许的最大电流也就越大。

2. 新式日本蓄电池标准规格:46B24R,55D23L,65D26R
在这里我们就以55D23L举例,55代表的是 55 Ah 的意思,也就是电池的容量;至于D则是电池宽度与高度的代号,一共有A-H总共8种字母,A是最小尺寸而H则是最大尺寸,通常D是标准尺寸的电池,而B则是一般小型电池的型号。至于23则表示蓄电池大约23 cm长,而L则是正极 terminal 的位置,从蓄电池极柱看过去,正极在右端的就是R,而在左端的则会标识L。

值得一提的是,许多卖家时常会标注的 DIN 55 其实是德国蓄电池标准下的一种规格,55 指的是该电池的表现指标,普遍上也被当作电池容量,打个比方 DIN 55R 其实和日本的 55D23R 是相同的。

